COMCEC Poverty Outlook 2016:
Human Development in OIC
22
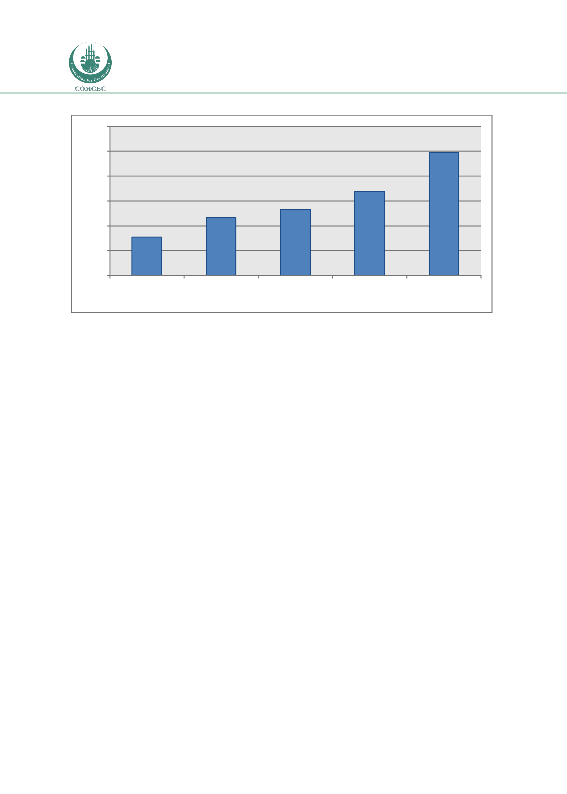
Figure 21: Annual growth rate in HDI between 1990 and 2015
Source: Own calculations from UNDP (2015).
Note: The rates are calculated as the annual compound growth rate.
2.2.
The current level of human development in OIC
The progress in human development in OIC member states is highly uneven. The HDI values
varies between 0.348 (Nigeria) and 0.856 (Brunei Darussalam) according to HDR 2015. 25 out
of 56 OIC member states have below OIC average HDI values and the remaining 31 have above
average HDI values.
Brunei Darussalam, Qatar, Saudi Arabia, United Arab Emirates, Bahrain and Kuwait have HDI
values above 0.800 and are all placed in very high human development category. This implies
only 6 out of 49 very high human development countries (12.2 percent) are from OIC. Oman,
Kazakhstan, Malaysia, Lebanon, Iran, Turkey, Azerbaijan, Jordan, Algeria, Albania Libya,
Tunisia, Suriname and Maldives are in high human development category with their HDI
values between 0.700 and 0.800. These countries constitute 25 percent of this category (14 out
of 56). With HDI values between 0.550 and 0.700, Egypt, Turkmenistan, Indonesia, Gabon,
Palestine, Uzbekistan, Kyrgyzstan, Iraq, Guyana, Morocco, Tajikistan, Syria and Bangladesh are
the members of low human development category. According to HDR 2015, one of every three
country in low development category is from OIC (13 out of 39). Finally, Pakistan, Nigeria,
Cameroon, Mauritania, Comoros, Yemen, Togo, Uganda, Benin, Sudan, Djibouti, Senegal,
Afghanistan, Côte d'Ivoire Gambia, Guinea-Bissau, Mali, Mozambique, Sierra Leone, Guinea,
Burkina Faso, Chad and Niger are in low development category and these countries constitute
52 percent of this category (23 out of 44). Considering that OIC member states constitute
nearly 30 percent of the countries that are included in HDR 2015 (56 out of 188), the figures
imply OIC is significantly underrepresented in very high category and significantly
overrepresented in low development category.
0,460
0,700
0,797
1,013
1,483
0,000
0,300
0,600
0,900
1,200
1,500
1,800
OECD
World
OIC
Developing
countries
LDC's




