COMCEC Trade Outlook 2017
31
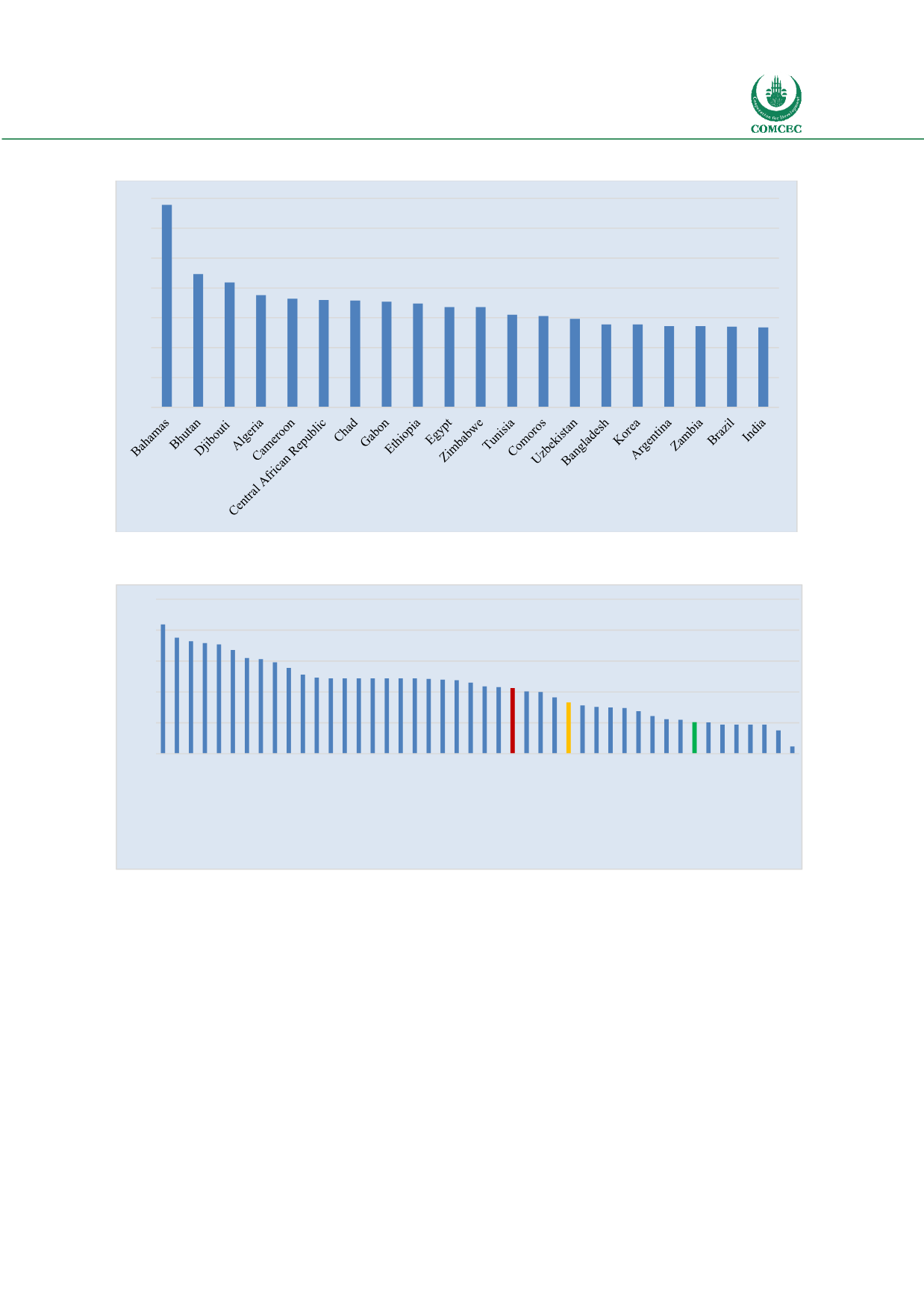
Figure 34: The 20 Highest Simple Average Applied MFN Tariffs among the WTO Members (2015)
Source: WTO Tariff Profiles 2017 database
Figure 35: Simple Average Applied MFN Tariffs in the OIC Countries (2015)
Source: WTO Tariff Profiles 2017 database
Agriculture sector is one of the crucial sectors for many countries in the world. In this regard,
countries apply higher tariffs on agricultural products than on the manufactured products.
Figure 36 and 37 below show the simple average applied MFN Tariffs on the agricultural and
non-agricultural products in the OIC Countries. OIC countries apply higher tariffs to agricultural
products. Countries that have inadequate agricultural production and need agricultural imports
apply lower tariffs on agricultural imports. On the other hand, the countries in which
agricultural production constitutes a significant part of the economy apply higher tariffs to
agricultural imports.
0
5
10
15
20
25
30
35
0
5
10
15
20
25
Djibouti
Algeria
Cameroon
Chad
Gabon
Egypt
Tunisia
Comoros
Uzbekistan
Bangladesh
Uganda
Pakistan
Benin
Burkina Faso
Côte d'Ivoire
Mali
Niger
Senegal
Togo
Nigeria
Mauritania
Guinea-Bissau
Morocco
Guyana
Turkey
OIC Average
Mozambique
Jordan
Azerbaijan
World Average
Kazakhstan
Tajikistan
Yemen
Kyrgyz Republic
Indonesia
Malaysia
Lebanese Republic
Oman
European Union
Saudi Arabia
Bahrain
Kuwait
Qatar
UAE
Albania
Brunei Darussalam




