COMCEC Trade Outlook 2017
46
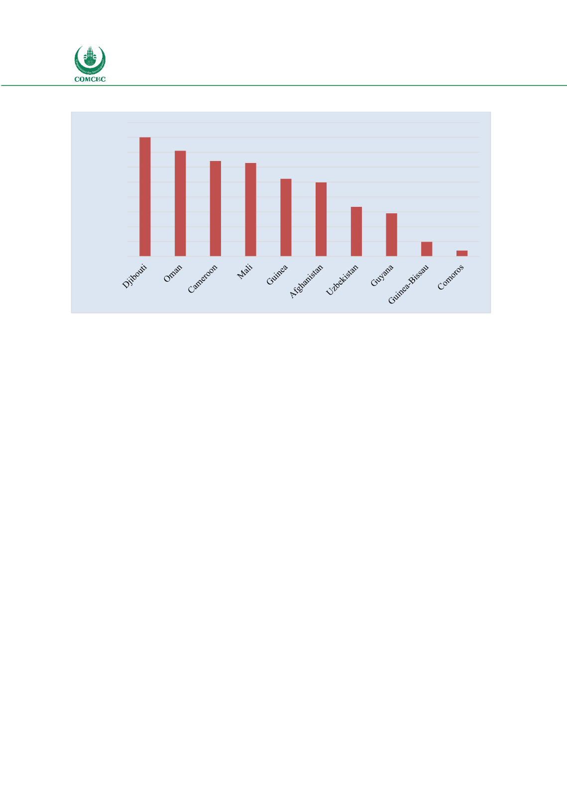
Figure 48: OIC Countries Receiving the Lowest FDI Inflows in 2016
Source: UNCTADSTAT
Trade Financing:
Trade finance is a general term used for financing of the international trade. Some 80 to 90
percent of the world trade relies on trade finance (trade credit and insurance/guarantees),
mostly of a short-term nature (WTO 2013).
Exporters usually get payments after delivering the goods to the importers. During this period,
which may take several months, the exporter may need financing for delivering the orders on a
timely manner. Therefore, financing is needed not only for the import-export process itself, but
also for the production of the goods and services to be exported, which often includes imports
of machinery, raw material and intermediate goods (UNCTAD 2012).
Available trade financing within a country increases the competitiveness of firms to compete in
international markets and encourages the firms especially the SMEs to export. Thus, it helps to
diversify the exports of the country. UNESCAP (2005) classified the trade finance methods and
instruments into the following three categories:
1)
Methods and Instruments to raise capital,
2)
Methods and Instruments to mitigate risk,
3)
Methods and instruments to effect payment.
With regards to raising capital, firms need financing to
ensure adequate production to meet the orders of the
commercial transactions on time. They may need to
import inputs, hire more workers and etc. In this
context pre-shipment and post-shipment financings
provide the exporting firms with the ability to cover
their expenses until they get the payments from the
importers.
-
20
40
60
80
100
120
140
160
180
Million dollars
“Firms face difficulties in
financing trade in many
developing countries”




