COMCEC Trade Outlook 2017
18
The commodity concentration could also be observed
when countries looked into specifically. Due to their
undiversified economic structure many OIC countries
rely upon a few primary products for their exports or
depend heavily on natural resources which might
result in a severe export revenue loss in case of either
foreign demand and/or commodity price shocks or drought for agricultural commodity
exporters. Recent oil price collapse and fall in other commodity prices underlies the importance
of policies aiming to step up export diversification to enhance resilience to commodity price
volatilities.
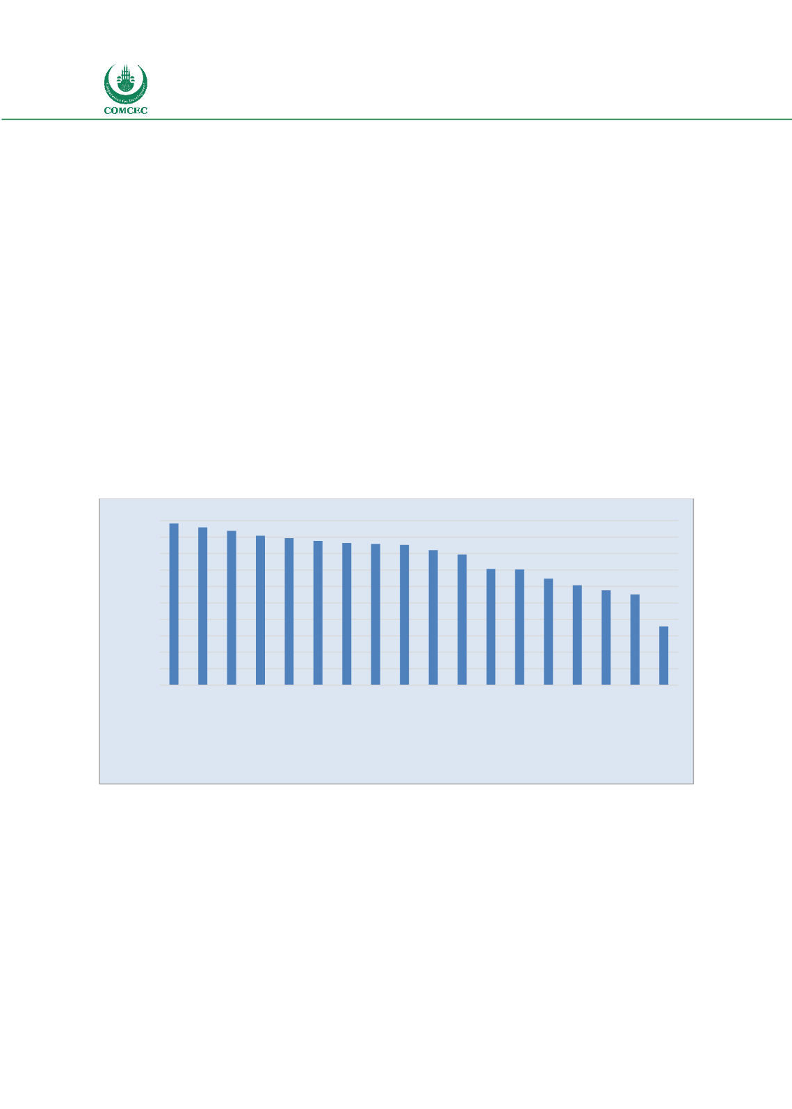
Figures 17 and 18 illustrate the share of the basic commodities in total exports of some member
states. Fuels (SITC 3) was the main exported item in many members ranging between 36 to 98
per cent of total exports. On the other hand, the share of non-monetary gold reached more than
half of total exports in Sudan, Mali and Burkina Faso. The share of textile related items in exports
reached 88 per cent in Bangladesh, 61 per cent in Gambia and 58 per cent in Pakistan. Basic
metals constituted a noticeable place in exports of some member states such as Guinea,
Mauritania and Niger where the share of metalliferous ores and metal scrap constituted around
half of exports.
Figure 17: Share of Fuels in Total Exports, 2016
Source: UNCTADSTAT
Note: Fuels includes Petroleum, petroleum products, natural gas, coke and electric current
98 96 94 91
89
88 86 86 85 82 79
71 70
65
61 58 55
36
0
10
20
30
40
50
60
70
80
90
100
Iraq
Algeria
Brunei
Darussalam
Libya
Nigeria
Azerbaijan
Turkmenistan
Qatar
Kuwait
Chad
Gabon
Saudi Arabia
Oman
Iran
Kazakhstan
Yemen
Sudan
UAE
Per cent
“Dependence on a single
commodity is common
among OIC members”




